
Understanding Easements in Florida Real Estate
When buying, selling, or developing property in Florida, few issues create more confusion than easements. An easement gives someone the legal right to use part of another person’s property for a specific purpose. Whether it’s access to a road, utility lines, or beachfront property, easements can significantly affect property rights, value, and use. Understanding easements is critical for homeowners, buyers, and developers across St. Augustine, St. Johns County, and Northeast Florida.
What Is an Easement?
An easement is a non-possessory legal right to use another person’s land for a particular purpose. The property granting the easement is known as the servient estate, and the property or party benefiting is the dominant estate.
Common Types of Easements in Florida
-
Utility Easements
Allow public or private utility companies to install and maintain power lines, water pipes, or sewer systems. -
Access or Ingress/Egress Easements
Provide property owners with a right-of-way to enter and exit their land, often when a parcel is landlocked. -
Conservation Easements
Restrict development to preserve land, wetlands, or historic features. -
Prescriptive Easements
Arise when someone uses another’s property openly and continuously for a statutory period (similar to adverse possession but without ownership transfer). -
Easements by Necessity
Created by law to provide access to landlocked property.
How Easements Are Created
-
Express Grant or Reservation: Written in a deed, will, or contract.
-
Implication: When land is divided and use of one part is reasonably necessary.
-
Prescription: Longstanding use meeting Florida’s legal requirements.
-
Court Order: A judge may establish an easement to prevent unfair landlock or hardship.
Pro Tip: St. Johns Law Group has extensive experience drafting easement agreements, including access agreements, road maintenance agreements, shared well agreements, development agreements, and utility agreements.
Easement Disputes in Florida
Disagreements often arise over:
-
Property boundaries
-
Overuse or misuse of easements
-
Maintenance responsibilities
-
Obstruction or interference
-
Whether the easement has been abandoned
At St. Johns Law Group, our real estate attorneys regularly represent property owners in easement litigation and negotiation, ensuring property rights are protected.
More Info: Visit the St. Johns Law Group Easement Dispute or Real Estate Litigation pages.
Why Easements Matter in Real Estate Transactions
-
Buyers: An undisclosed easement may limit building plans or reduce privacy.
-
Sellers: Failure to disclose can lead to legal disputes.
-
Developers: Easements can restrict land use or require relocation of utilities.
-
Title Companies: Easements often appear in surveys and title searches, and should be reviewed before closing.
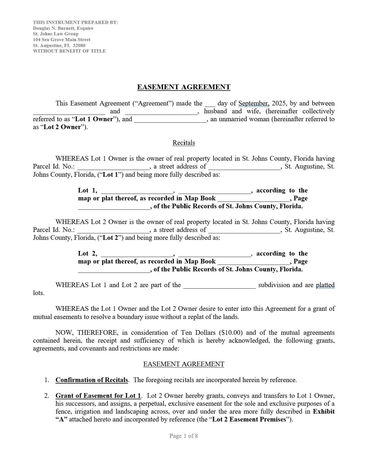
Pro Tip: An easement agreement can potentially resolve a boundary encroachment without the need to replat in a subdivision.
Protecting Yourself in an Easement Situation
-
Obtain a professional survey before buying property.
-
Review title commitments for recorded easements.
-
Consult an experienced real estate attorney to evaluate restrictions.
-
Negotiate or modify easements when necessary.
St. Johns Law Group: Real Estate Attorneys in St. Augustine
With 12 attorneys and more than 265 years of combined experience, St. Johns Law Group is St. Augustine’s largest law firm, dedicated to serving clients in real estate, land use, construction, probate, and litigation. Our attorneys, including Douglas N. Burnett and John L. Whiteman, regularly handle complex real estate matters such as easements, boundary disputes, title claims, and contract negotiations.
📞Call An Easement Agreement Attorney Now
If you’re buying or selling property, facing an easement dispute, or planning development in St. Johns County, Ponte Vedra, Nocatee, Palm Coast, or Northeast Florida, call St. Johns Law Group today. Our team will review your situation, explain your rights, and protect your investment.
📞 904-495-0400
📍 104 Sea Grove Main Street, St. Augustine Beach, FL 32080
🌐 info@sjlawgroup.com
